建筑门窗在我国有着悠久的历史,可以追溯到三千多年前的商、周。建筑门窗作为我国古代灿烂建筑文明的组成部分,堪称中华文化宝库中一颗璀璨的明珠。
我国境内已知的早人类的住所是天然岩洞。“古穴居而野处”无数奇异深幽的洞穴为人类提供了原始的家,洞穴口的草盖大约便是早的门。进入奴隶社会后,我国出现了早的规模较大的木架夯土建筑和庭院,从而出现了具体定义的门窗。唐宋以后的资料更多。一般做建筑的外门与内部隔断,此时的门窗都是木制,强调的是其艺术性和象征意义。
早的直棂窗在汉墓和陶屋明器中就有,唐、宋、辽、金的砖、木建筑和壁画亦有大量表现。唐以前仍以直棂窗为多,固定不能开启,因此功能和造型都受到限制。宋代起开关窗渐多,在类型和外观上都有很大发展。宋代大量使用格子窗,增加了装饰效果。明、清时门窗式样基本承袭宋代做法,在清代中叶玻璃开始应用在门窗上。至此,我们现在定义的窗的雏形已经诞生了。
我国现代建筑门窗是在二十世纪发展起来的, 1911年钢门窗传入中国,主要是来自英国、比利时、日本的产品。七十年代后期,大力实施"以钢代木"的资源配置政策,大大推进了钢门窗的发展。八十年代是传统钢门窗的全盛时期,市场占有率一度(1989年)达到70%。铝合金门窗七十年代传入我国,随着国民经济治理整顿深入发展并取得成效,铝门窗系列也由八十年代初的4个品种、8个系列,发展到40多个品种、200多个系列,形成较为发达的铝门窗产品体系,确立了支柱产品地位。尤其是2000年伴随着欧洲穿条技术进入中国,出现了新型断桥铝门窗。断桥铝门窗克服了原有铝合金门窗不节能的弱点,并有效保持甚至将铝门窗原有优点发挥的更为淋漓。于是受到国内大多数政府类建筑、中商业楼盘等业主的青睐。在我国隔热门窗得到了蓬勃的发展!
图1、中国市场门窗品种分布
从图1即可看出来我国市场门窗品种分布的一个显著特点就是铝合金门窗占据半壁江山,这其中随着对建筑节能的日益重视,断桥铝门窗的发展更是可以用日新月异来形容。旺盛的市场需求催生了技术和材料的不断变革,从初的普通铝型材配置单层玻璃到现在中空玻璃配置断桥铝型材已经成为市场的主流。来自欧洲成熟市场的厂商带来的不仅仅是产品,也让中国的铝型材企业、门窗幕墙企业、配套件企业有了新的生命力和发展方向。“系统”这个词无疑是行业内近几年的一个热点词语!国外的系统公司在纷纷进入中国,国内的铝型材企业、门窗幕墙企业也都在推陈出新的开发适合自己的系统产品,以便实现自己从做产品到做系统的有效角色转化!
所谓“系统”,中华大辞典的解释为“同类事物按一定的关系组成的整体”。放在门窗行业内可以简单理解为门窗系统就是将玻璃、型材、五金件、隔热条、胶条等材料按照精密公差配合、优化性能组合在一起终形成的门窗产品,此即为门窗系统。再衍伸意义上讲,门窗系统即有一整套的产品和服务能够满足市场的变化、客户的需求!
门窗系统开发到今天,情况还是良莠不齐。以隔热铝门窗为例,中空玻璃和隔热型材的选用已经成为了一个基础共识。但是在此基础上,作为隔热铝门窗的核心节能部件---隔热条、胶条、间隔条的使用是否得当却乏人关注.殊不知,一个系统的成败往往决定于一个或者几个细节的完善与否!本文中,笔者将就隔热铝型材断面设计中几个细节问题做以对比说明。
本文应用的是Therm5.0(注:THERM5是用有限单元法计算门窗框和玻璃边缘稳态传热的软件,计算所用的公式和方法基于ISO15099和ISO10077.THERM5计算的窗框性能数据可以导入WINDOWS5,与玻璃数据一起组成整个门窗或幕墙,计算综合的性能数据。同时,THERM5也可单独作为分析软件,研究框材内部的传热模型,找出设计缺陷,提高产品性能。这款软件是美国劳伦斯伯克利实验室所设计的一款产品,也是中国建设部门窗节能工作推荐软件之一)软件进行的热工模拟,模拟环境为两个完全相同的型材断面和玻璃配置,每次更换一个变量,来分析比较细节的改动对整体系统的影响大小。
众所周知,传热的途径有如下三种:1、热传导;2、对流;3、热辐射。在断桥铝型材中,这三种形式是并存的,其中热传导和对流起到决定性的作用。故要想改善型材的热工性能,就要从这几个方式上想办法,尽可能的降低型材的导热性能,也就是要把常说的U值降下来。
1、隔热条的设计选用
隔热条的应用已经非常普及,我们看到绝大多数的型材断面也是应用了I、C、T、CT这几个基础类型的隔热条。那么,应用I型条和应用C型条对型材的导热性能到底有没有影响呢?影响又有多大?
图2、应用I20条的型材U值模拟
图3、应用C20条的型材U值模拟
上面的图2和图3是同一个型材断面,分别应用I20和C20的隔热条,其他设计和配置完全相同的情况下做得模拟。本例中,应用C型条比应用I型条的U值降低了3.87-3.71=0.16.上面的计算结果可以看出来应用相同宽度的C型条要比I型条的隔热型材U值小一些。
以上模拟结果可以通过了解热阻R的定义来理解。根据传热学公式,R=A/(kL)。其中L为平板的厚度,A为平板垂直于热流方向的截面积,k为平板材料的热导率。相同宽度隔热条,C型条的A比I型条的大,而K、L是相同的,故C型条的自身热阻要比I型条大,也就是应用相同宽度C型条的型材热传导性能要比应用I型条的,节能效果好。
2、泡沫填充材料的设计选用
有空腔就有对流产生的可能,设计师们敏锐的发现了这一点,并很快找到了一个解决方案---填充泡沫材料。填充一定是有效的吗?以下做以对比模拟:
图4、I型条填充泡沫材料
图5、C型条填充泡沫材料
组对比:图2和图4,可以看出应用I型条的型材添加泡沫材料以后,其型材U值的变化为3.87-3.83=0.05,即填充了泡沫材料对型材U值优化效果一般。
第二组对比:图3和图4,可以看出应用C型条的型材添加泡沫材料以后,其型材U值的变化为3.72-3.63=0.09,即填充了泡沫材料的型材U值优化效果尚可。
由以上模拟结果可以看出,应用同样宽度隔热条,填充泡沫材料对应用C型条的型材比应用I型条的型材优化热工性能要好一些。从对流的产生环境我们可以知道,过于狭隘的空间不利于对流的产生,而I型条之间的空间比C型条的要小一些,故填充泡沫材料的效果也不如C型条明显,这也就解释了上面的结果。
3、主密封胶条的设计选用
框扇之间的主密封胶条的设计选用各家企业也是百花齐放,有应用的、有不用的、有把胶条搭接到隔热条上的、有把胶条搭接到型材上的……以下做以对比模拟:
图6、主密封胶条搭接铝材
图7、主密封胶条搭接隔热条
组对比:图2和图6对比可以看出,同样的断面设计,应用主密封胶条和不用主密封胶条的型材U值变化为3.88-3.69=0.19,U值优化效果明显。
第二组对比:图6和图7对比可以看出,同样是应用主密封胶条,但是胶条搭接在铝材上合搭接在隔热条上对型材的U值影响为3.69-3.42=0.27,U值影响很大。
以上两组对比我们可以看出,只要型材断面设计结构允许使用主密封胶条,那么一定要选用,并且要从系统的角度考虑,选择合适的隔热条来与主密封胶条配合搭接。主密封胶条和隔热条的有效配合从根本上改变了型材内部的一个通透腔体的结构,的降低了型材因为对流产生而带来的热量损失,此也为上面结论出现的原因。
4、拖尾胶条的设计选用
以上都是从型材内部进行的结构设计分析,而我们知道门窗是型材和玻璃的组合体系,除去玻璃的U值影响与本文无关不谈,型材和玻璃之间应用的胶条形状对型材的U值也是有相当影响的。以下进行对比模拟:
图8、应用短尾胶条的铝型材
图9、应用拖尾胶条的铝型材
对比图8和图9,应用拖尾胶条和短尾胶条对型材的U值影响为3.32-3.20=0.12.可见U值优化效果明显。拖尾胶条的作用类似主密封胶条,也是将大的型材内部存在温差的空间分割,进而实现其优化型材U值的效果。本例计算中拖尾胶条是搭接在铝材上,根据主密封胶条的模拟结果来看,如果两个拖尾都搭接在隔热条上,效果应该会更明显。
5、玻璃暖边间隔条(TGI)的设计选用:
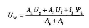
上面我们说过了,门窗整体的U值不仅仅决定于型材。以窗为例,一般认为整窗的U值决定于以下三个方面:1、玻璃、2、型材、3、玻璃边缘状况
ISO 10077-1中公式来表示就是:单扇窗的传热系数UW用下面公式计算:
Ug 玻璃的传热系数;
Uf 型材的传热系数;
Ψg 影响玻璃、空腔和型材连接处传热的线性传热系数
其中Ψg值在中空玻璃中的现实反映就是应用的何种间隔条。从市场上分类主要分为应用可以称为冷边但是在大量使用的铝间隔条和从国外引入不久但得到迅猛发展的暖边间隔条。暖边间隔条实际上在北美的使用率已经超过80%,欧洲的使用率也在不断提高,随着近年对于节能技术的重视和逐步推广,暖边技术在国内已经初具技术氛围,越来越多的人开始认识到暖边技术的优点,在门窗幕墙项目上暖边使用率在逐渐提高。那么应用TGI暖边间隔条的作用是否在系统U值中体现出来,以下做以对比模拟:
图10、应用普通铝间隔条
图11、应用TGI暖边间隔条
对比图10和图11,我们可以看到,应用TGI暖边间隔条和应用普通铝间隔条对型材U值影响为3.44-3.19=0.25,优化效果明显。改善了中空玻璃边缘线性系数,进而影响到型材乃至系统整体的热工性能,这个效果不言而喻。
本文中笔者对断桥铝门窗典型设计断面的几处细节做以模拟计算,进而得到有关隔热条、胶条、间隔条等几处设计和选用不同产品而能够对型材乃至系统带来的热工性能影响,从模拟结果可以知道,应用异型隔热条、密封胶条、暖边隔热条等产品的门窗系统能够得到更好的热工性能表现。以上笔者应用Therm软件对现在市场上常见的断面设计中几处细节做以模拟比较,从中希望能够给我们的设计师们有些提示。系统不仅仅是概念,更应该是技术、是!一个系统的诞生和发展就是一个的历史,我们常常听说一句话“细节决定成败”,对于我们门窗幕墙系统而言,也是如此,关注细节才能系统!“与细微处将系统的发展开拓到!”,这是改用我们这个行业内一个系统企业的一句宣传语,仅以此句与诸君共勉!



